- Startseite
- Forum
- Auto
- Volkswagen
- Golf
- Golf 7
- Golf 7, 1.2 TSI Motoröl Spezifikationen
Golf 7, 1.2 TSI Motoröl Spezifikationen
Hallo,
mein Golf 7 TSI 86 PS Bj. 2015 hat laut Handbuch die Motoröl Herstellerfreigabe VW 50200 und 50500.
Longlife ist für mich nicht relevant, mache sowieso jedes Jahr Ölwechsel.
In den Werkstätten wurde in der Vergangenheit 5W30 von Mobil 1 oder Castrol Edge verwendet.
Nun habe ich festgestellt, das McOel in Hamburg mir im Sommer diesen Jahres Shell Helix 0W30 Ultra ECT2/C eingefüllt hat, schön teuer aber mit der Herstellerfreigabe VW 50400 und 50700. Damit bin ich bereits 4000 km gefahren.
Nun meine Frage : Das Shell-Oel hat für meinen Motor ja eigentlich gar keine Herstellerfreigabe von VW.
Auch wenn es hochwertiges Motoröl ist, kann ich das Öl trotzdem noch ca. 4000 km ohne Schaden am Motor weiterfahren oder sollte es schnellstmöglich gewechselt werden ?
Über Tipps und Infos wäre ich sehr dankbar !
Gruß ubootfahrer
Ähnliche Themen
19 Antworten
50400 und 50700 ist longlife und wird bestimmt erlaubt sein. Also im Buch nachlesen.
Ja, ok - Handbuch habe ich allerdings nicht, weiß aber, dass die geforderte VW Herstellerfreigabe für meinen Motor eben die VW 50200 und 50500 ist.
Wie gesagt, Longlife nutze ich nicht, mach sowieso jedes Jahr bei ca. 6000 km Fahrleistung Oelwechsel, wenn es dann aber Longlife-Öl ist, kann es ja auch nicht schaden.
Die VW Normen 50400 und 50700 scheinen die Nachfolger von 50200 und 50500 sein, die gab es wohl in Baujahr 2015 noch nicht, sollte dann aber hoffentlich passen - ich kann dann wohl mit dem Shell Helix 0W30 Ultra ECT 2/C weiterfahren.
Guten Morgen
50200 und 50500 ist für den jährlichen Wechsel. 5W40.
50400 und 50700 ist für das Longlife Öl, also 5W30.
Ich würde kein 0W30 fahren, zu dünn.
Ich würde das 5W40 nehmen, etwas dicker und alle 6000km wechseln. Viel preiswerter und ich halte das für den 1,2 und 1,4 TSI für besser.
Lg Uwe
Ich habe das Öl aber ja seit Sommer im Motor, fahre meistens Kurzstrecke und da ist eher dünneres Öl ja eher vorteilhaft, vor allem im Winter.
Beruhigt hat mich auch nun folgender Artikel auf der Webseite von addinol :
VW 502 00 Freigabe für Motoröle
Die Motorenöl-Spezifikation VW 502 00 wird von Volkswagen für Autos mit Benzinmotor und festem Wechselintervall (jährlich oder aller 15.000 Kilometer) herausgegeben. VW 502 00 ist die Weiterentwicklung der Normen VW 501 01 und VW 500 00. Die Norm VW 504 00 ist wiederum die Nachfolgenorm von VW 502 00. Wenn Ihr Auto für VW 502 00 zugelassen ist, können Sie also auch bedenkenlos Öl mit Freigabe VW 504 00 einfüllen. Mögliche Viskositätsklassen für VW 502 00 sind SAE 0w30, SAE 5w30, SAE 10w30, SAE 0w40, SAE 5w40 und SAE 10w40. Die VW Norm 502 00 gilt auch für Benziner der Tochterunternehmen Audi, Skoda und Seat.
Danach kann ich wohl mit dem Shell Helix Ultra ECT2/C 0W30 beruhigt weiter fahren.
Nächster Ölwechsel wird es dann wieder ein 05W30 mit VW 50200/50500
@ubootfahrer ich fahre bei meinem Golf 7 mit 1.2 TSI auch 5W40
Die Motoren haben starke Probleme mit den Kolbenringen deswegen kommen keine Longlife Intervalle für mich infrage.
Zitat:
@polouwe schrieb am 30. November 2023 um 10:01:58 Uhr:
50400 und 50700 ist für das Longlife Öl, also 5W30.
Nein, es gibt auch 0W30 mit 50400. Bei VW kriegt man neuerdings auch nur noch 0W30 eingefüllt.
Ja, genau, 0W30 ist ja auch gerade im Winter und bei viel Kurzstrecke eine gute Wahl.
Mir ging es nur darum, dass die Herstellerfreigaben von VW für meinen Motor im Jahr 2015 eben 50200 und 50500 waren.
Und genau diese VW Freigaben erfüllt das Shell Helix 0W 30 Ultra ECT2/C nicht, sondern 50400 und 50700.
Ich habe aber gelesen (siehe Artikel weiter oben von Addinol) , dass die Freigabe 50400 der Nachfolger von 50200 ist.
Ebenso 50700 der Nachfolger von 50500.
Die Spezifikationen z.B. 0W30 oder 5W30 sind sowieso für den Motor zugelassen, ich werde wohl mit dem 0W30 weiterfahren.
Ich fahre seit Jahren das Addinol Giga Light Longlife 5W30 im 1,4 TSI. Da ich aber zum Herbst und zum Frühjahr jeweils einen Ölwechsel 4 Liter mit Ölfilter durchführe, werde ich im Frühjahr auf das Addinol 5W40 Super Light umsteigen.
Danke für die Antwort, hilft mir aber nicht weiter.
Ich wollte wissen, ob ich das seit Juni im Motor befindliche Shell Helix Ultra ECT2/C 0W30 ( mit VW-Freigabe 50400 statt der geforderten Freigabe VW 50200 ) ohne Schaden am Motor noch ein paar Monate (ca. 4000 km) bedenkenlos weiterfahren kann.
Die Herstellerfreigabe 50400 ist eine Nachfolgenorm einer älteren Norm und sollte bedenkenlos in deinem Golf gefahren werden können. Die geänderten Herstellernormen sind den Ottopartikelfiltern heutiger Modelle geschuldet, die ein dünnflüssiges und vor allem aschearmes Motoröl benötigen. Schaden kann dies bei deinem Fahrzeug ohne OPF nicht, da für das Shell 0W30 ja eine Herstellerfreigabe besteht.
Wenn du es ganz sicher wissen willst, kannst du einen Vertragshändler befragen oder den VW Kundenservice anschreiben.
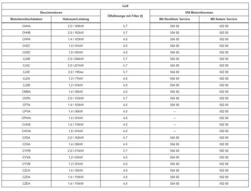
Benziner(EA211) im Golf 7 haben schon immer die Freigaben VW 504 für LongLife und VW 502 für Festintervall. Ausgenommen sind die Hybride. Siehe Tabelle.
Oh, super, vielen Dank!
Dann kann ich ja beruhigt mit meinem Shell 0w30 weiter fahren
Zitat:
@ubootfahrer schrieb am 30. November 2023 um 08:47:22 Uhr:
Hallo,
mein Golf 7 TSI 86 PS Bj. 2015 hat laut Handbuch die Motoröl Herstellerfreigabe VW 50200 und 50500.
Das würde mich tatsächlich sehr wundern. Wie schon geschrieben haben die Golf 7 eigentlich alle 504. Vor allem wurde die 504 Spezifikation im Jahr 2005 herausgegeben, also deutlich vor Golf 7 Einführung.
Zitat:
@sebi707 schrieb am 30. November 2023 um 23:41:24 Uhr:
Zitat:
@ubootfahrer schrieb am 30. November 2023 um 08:47:22 Uhr:
Hallo,
mein Golf 7 TSI 86 PS Bj. 2015 hat laut Handbuch die Motoröl Herstellerfreigabe VW 50200 und 50500.
Das würde mich tatsächlich sehr wundern. Wie schon geschrieben haben die Golf 7 eigentlich alle 504. Vor allem wurde die 504 Spezifikation im Jahr 2005 herausgegeben, also deutlich vor Golf 7 Einführung.
